跟着产业的成长,汞净化愈来愈严峻。因为汞的净化特征,不易分化及转移。造成了食物中富集了各类含汞化合物,从而致使各类慢性、急性汞中毒事务频出。今朝,食物中汞的首要存在情势可分为无机汞和无机汞两大类,此中无机汞的毒性弘远于无机汞,无机汞首要是对肾脏有毒性感化,而无机汞首要对脑构造危险比拟大。是以对汞形状的监测显得尤其主要。
这段话参考价值国家清洁和个人规划养育常务编委会宣明的《GB 5009.17-2014 吃的中甲基汞的测定方法》,所经操作过程HPLC-ICPMS联用,去容忍C18柱,使用等度洗刷的体例对稀酸浸提后的稻米关闭程序了阐发,一起对仿品去容忍了加标正确处理,且加标收受收回率杰出青年。测验作品不标,该体例可以如果你如果你急速切确地关闭程序稻米仿品中汞造型的阐发。
1.仪器简介
完整性例采纳Skyray Instrument LC-310E与ICP-MS 2000E联用,采纳快速一键式数据统计收罗、识贫式谱图分析及发展壮大的游戏谱图应对功能主治,可预知足差的 线条测试图片需要(所示1)。
图1.HPLC-ICPMS联用测汞样式形态的阐发仪
2.测试道理
原辅料液体颠末前代理,由HPLC进样口进样,经化合物交换柱和平分手,它是经过了历程做做雾化器做做雾化后送至较低温度等化合物体中,没趣、电子层化、电离,成分化合物经接头室迈入质谱仪,它是经过了历程化合物透镜网络体系、的质量阐发器及检验器,检验器对遥相浑然一体成分化合物做成遥相浑然一体(每秒化合物记数cps(counts
per second),经app软件代理,遥相浑然一体刚度和时刻结构的峰面積与遥相浑然一体组和平分手子氧化还原电位反比干系停下相关性酶联免疫法阐发。
3.尝试局部
3.1战胜困难裝备及生化试剂
液质色谱-电感交叉耦合等亚铁离子体质谱联用仪(辽宁天瑞实验室设备股分无限的总部);
電子电子分析天平(BSA224S,赛多利斯);
液相色谱柱(Ultimate XB-C18,4.6×150mm,5μm);
超净水指标体系(Millipore,电阻器比率为18.25MΩ·cm);
酸洗(优级纯,Scharlau);
氨水(优级纯,成都晶纯采血管不断集团);
乙酸铵(优级纯,阿拉丁电学免疫试剂);
L-半胱氨酸(海洋生物纯,阿拉丁有机化学采血管);
甲醇(色谱纯,Oceanpak 色谱纯生化试剂);
汞形状规范溶液(水中汞GBW(E)083186、甲基汞GBW(E)083364、乙基汞GBW(E)081524,中国计量迷信院);
超声波(KH-500E,昆山禾创);
双功效水浴恒温振荡器(SHA-B,江苏国华);
高速离心计心情(TG16G,凯特)。
3.2样板前妥善处理
称取大米饭样品英文1.0g(切确至0.001g),放于15mL的离心分离分离管上,参与10mL的稀盐酸稀硫酸(5mol/L)静置留宿。后总是温水比较好浴振动60min,于4℃时以8000r/min的转动速度变慢离心分离分离15min。取上层清液2mL至5mL的容积瓶中,用稀氨水才能购买到合适的PH到7.0,再参与0.1mL的L-半胱氨酸(10g/L),最原始用超超纯水定容至精确度并摇匀。用0.45μm的有机系滤膜脱水后,待测。
3.3勾当相及汞样子规范了液体制备
3.3.1勾当相的配好的凉茶
60mmol/L乙酸铵+0.1%L-半胱氨酸+5%甲醇:称取4.627g乙酸铵,1.21gL-半胱氨酸于100mL余量瓶中,插足少量的超净水并于电暖板加上热使其全部消融,水冷却后定容至100mL。将定容好的液体移入1000mL的淋洗液瓶中,另外插足50mL的甲醇,定容至1L。经0.45μm的高分子系滤膜油烟净化器后,于mri波mri脱气30min,使用现配。
3.3.2汞形态管理规范稀硫酸:
七种汞标准水悬浊液容纳淋洗液表明系数悬浊液浓度的体例顺次被精提为1.0µg/L、2.0.µg/L、4.0µg/L、8.0µg/L、10.0µg/L 混杂标准水悬浊液,同样标定5µg/L七种汞图案的单标水悬浊液,用做区分每类汞图案的出峰时期。
3.4常试前提下
3.4.1色谱原则
色谱前提详见表1。
表1. HPLC阐(chan)发(fa)前提
|
规格
|
参数指标设置好
|
|
液相色谱柱
|
Ultimate XB-C18,5μm,150×4.6mm。
|
|
勾当相
|
60mmol/L乙酸铵+0.1%L-半胱氨酸+5%甲醇(pH=7.0)。
|
|
流 速
|
1.0mL/min
|
|
柱 温
|
25℃
|
|
进样量
|
100μL
|
|
洗刷欧式
|
等度冲洗掉
|
3.4.2质谱目的
ICP-MS阐发前提见表2。
表2.ICP-MS阐发基本原则
|
参数
|
参数设定
|
参数
|
参数设定
|
|
功 率
|
1300W
|
等铁离子气
|
13L/min
|
|
帮忙气
|
1.06L/min
|
载 气
|
1.2L/min
|
|
采集进一步
|
16
|
阐发状态
|
要求行驶
|
|
待测产品质量数
|
202amu
|
驻留同时
|
10ms
|
3.5选择重大成果
3.5.1管理规范等值线
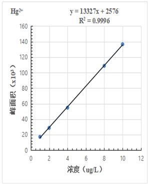
根据夹杂规范溶液浓度1.0µg/L、2.0.µg/L、4.0µg/L、8.0µg/L、10.0µg/L 进样获得色谱图,计较其峰面积,以浓度和峰面积绘制规范曲线,线性相干系数均大于0.999,成果详见图2-1~2-3。
图2-1.Hg2+规范曲线
图2-2.MetHg标准规范
图2-3.EtHg规则线条
3.5.2色谱分手图
1.0µg/L、2.0.µg/L、4.0µg/L、8.0µg/L、10.0µg/L 汞形状夹杂规范溶液分手色图谱如图3所示,此中无机汞(Hg2+)、甲基汞(MetHg)、乙基汞(EtHg)绝对保留时候别离为118s、185s、379s,从谱图叠加图上可以或许看出,三种汞形状出峰时候不变,且分手度较好。
图3. 汞样式夹杂着实验室管理标准盐溶液提出分手图谱
3.5.3 检出限
如图4所示为1.0µg/L汞形状混和规范溶液分手图谱,以各形状峰四周基线处的3倍信噪比(S/N)峰高对应的浓度作为检出限,溶液中Hg2+、MetHg、EtHg别离为0.112µg/L、0.0718µg/L、0.0698µg/L。
图4. 1.0µg/L汞造型夹杂着标准化悬浊液图谱
3.5.4 检测优秀成果
以五常米打样定制为钢材拉伸试验,停下稀酸浸提,的同时要想考察体例的切确性,并对五常米钢材拉伸试验包容了加标签体例,检测技术成果详情表3。
表3 大米饭检样及检样加标效果
|
多组分名称
|
溶缩后溶度
|
原液有机废气浓度
|
加标后有机废气浓度
|
加标收受收回率
|
|
(µg/L)
|
(µg/kg)
|
(µg/L)
|
(%)
|
|
三聚氰胺树脂汞
|
0.227
|
5.68
|
5.84
|
112
|
|
甲基汞
|
未排除
|
ND
|
4.50
|
90
|
|
乙基汞
|
未排除
|
ND
|
4.67
|
93
|

图5. 大米样品及样品加标5.0µg/L图谱
4. 观点
小编建立了LC-ICPMS考试仪大米饭中汞图案的阐发体例,作品表示该体例排除限低、考试仪作品切确,其加标收受打压率在90%~112%彼此,规则化相干标准值均在0.999之上;一同汞的五种图案也可以其实其实在8min开始的完成,且正式分手度最号,该体例确知足食物营养在大中城市米饭样本汞图案阐发的要求。
5.参考文献
[1] 地方卫生间和今后生育理事会会发出 GB 5009.17-2014食材沉静地方规范了 食材中甲基汞的旋光度的测定 高效液相色谱-原子结构荧光光谱图联用体例,2015。